[Retrieval] Jina-embedding V4: Universal Embeddings for Multimodal Multilingual Retrieval
[Retrieval] Jina-embedding V4: Universal Embeddings for Multimodal Multilingual Retrieval
- paper: https://arxiv.org/pdf/2506.18902
- github: X
- huggingface: jinaai/jina-embeddings-v4
- archived (인용수: 9회, ‘25-11-04 기준)
- downstream task: Multimodal Retrieval, nlp-to-code retrieval, t2t retrieval
1. Motivation
- 다국어 / 다기능 / mulimodal embedding 모델을 개발하는데 어려움이 있음
- Visually rich한 데이터, computer coding language, image 등
- Late Interaction style의 single tower LLM embedding을 만들어보자!
2. Contribution
- ViDoRe 등 visually rich한 데이터를 다루는데 능한 Jina-v3 (Qwen-2.5-VL-3B)기반 LoRA로 학습한 jina-embedding-v4를 제안함
- Multi-Lingual/Multi-domain 을 커버하는 benchmark인 Jina-VDR를 제안함
3. Jina-v4
-
Background
- Multimodal embedding 모델: 여러 modalities를 동일한 semantic embedding space로 projection하는 것
-
jina-v4
-
task-specific한 instruction 없이 t2t, t2i를 동시에 학습 및 처리할 수 있음
-
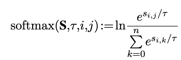
late interaction기반으로 simailarity score를 연산함 (maxSim)

-
-
Jina-VDR
- ViDoRe는 QA task만 존재함
- MIEB의 확장버전임 (MIEB + STS task for visually rich documents (screenshots))
3.1 Model Architecture
- Clip-style vs. jina style
- Clip은 modality encoder가 분리
- jina는 single modality로 truely multimodal encoder

3.2 Dual Mode Output
- Single-vector embedding (dense)
- 1 x d 차원의 embedding이 sample별로 생성
- token dimension에 Mean-pooling 적용하여 계산
- Multi-vector embedding
- n x d 차원의 embedding이 sample별로 생성
- n: token-level
- n x d 차원의 embedding이 sample별로 생성
3.3 Task specialization with LoRA
-
Task별로 LoRA adapter를 별도로 분리하여 학습을 수행 (약 2%==60M params.)
-
Tasks

- Asymmetric Query-Document Retrieval
- Semantic Similarity & Sysmmetric Retrieval
- Code (computer programming language) Retrieval
4. Training
5.1 Pair Training data
- 300 sources에서 취득한 t2t, t2i data로 구성
- website screenshots, rendered markdown files, charts, tables, 등등 wild data를 추가
-
query는 keyword, key phrases, long descriptions, statements of facts를 사용
-
Task-specific training
-
Multi-vector 기반 Matryoshka loss 적용



-
Single vector & Multi vector간의 KLD를 적용하여 error 분포가 동일해주도록 훈련

- Multi-vector가 보통 less error를 띔
-
Total joint loss

-
5.2 Asymmetric Adapter
-
backbone: Qwen2.5-VL-3B-Instruct + Multi-vector projection layer + LoRA
-
Asymmetric Retireval Adapter
-
Query / key에 별도의 LoRA adapter를 사용
-
prefix method를 사용
- ex. “query: “, “key: “를 앞에 추가
-
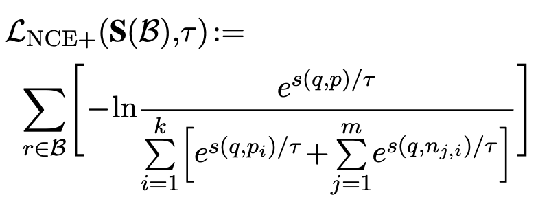
hard negatives포함한 학습셋으로 학습 수행 + in-batch negative

-
5.3 Text Matching Adapter
-
similar values를 갖는 GT로 학습하는게 제일 좋았음
- 유사도 score에 대한 정답이 있을 경우 ($s(q_2,p_2) > s(q_1,p_1)$ )

- 유사도 score 정답이 없을 경우 InfoNCE로 학습
5.4 Code Adapter
- Language-to-Code retireval
- CodeSearchNet + StackExchangeQA datasets로 pretrain된 Qwen2.5-VL-3B을 사용
- CodeSearchNet, CodeFeedback, APPS, CornStack dataset으로 triplets기반 학습
5. Jina-VDR: Visually Rich Document Retireval Benchmark

- Manually annotated + Synthetic Data Generation으로 구축
6. Experiments
-
정량적 결과

-
Modality Gap

-
Cone Effect
-
더 다양한 분포로 학습됨 $\to$ embedding space를 넓게 활용함

-