MLE-STAR: Machine Learning Engineering Agent via Search and Targeted Refinement
[Agent] MLE-STAR: Machine Learning Engineering
Agent via Search and Targeted Refinement
- paper: https://arxiv.org/pdf/2506.15692
- github: https://github.com/WalkingDevFlag/MLE-STAR-Open (Unofficial)
- NeurIPS 2025 accepted (인용수: 18회, ‘26-03-17 기준)
- Downstream task: Machine Learning Engineer Agent
1. Motivation
- 기존 MLE 자동화 연구
- MLE Agent task를 “코드 최적화” 문제로 바라보고 해결하고자 함
- MLE Agent task에서 기존의 방식들은 2가지 한계점 존재
- LLM의 내재된 지식 (inherent knowledge)에 강하게 의지하여, 최신 모델을 선택하지 못함. $\to$ Web search를 잘 수행하면 해결 할 수 있지 않을까?
- 거친 (코드) 수정 전략을 통해 전체 코드를 한번에 수정함 $\to$ Ablation Study를 통해 일부 ML Component만 타켓하여 반복적으로 수정 전략을 수행할 수 있지 않을까?
2. Contribution
-
ML Engineering agent에 web Search와 TArgeted code block Refinement를 수행하는 MLE-STAR를 제안함

-
MLE-bench Kaggle 대회에서 SOTA를 찍음 (25.8% $\to$ 63.6%)
3. MLE-START
-
Overview

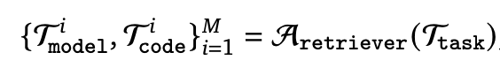
3.1 Web Search를 Tool로 활용하여 Inital Solution을 생성
-
LLM이 pretraining시에 자주 본 친근한 패턴의 solution만 제공하고, 최신 solution을 제공하지 못하는 경향을 가짐.
ex. LLM의 내장된 지식 활용 시 테스크에 맞지 않게 logistic regression 으로만 해결하려는 경향을 보임
-
이를 해결하고자 초기 solution을 만들때, web search를 tool로 제공하여 M개의 최신 모델을 선택하도록 retriever를 둠

-
LLM이 최신 모델에 대한 이해도가 없으므로 (친근하지 않으므로) 적절한 guidance code로 함께 제공해줘야 함

-
Ensemble 결과
-
모델의 test score를 기준으로 내림차순 정렬

- $h$: score
-
Merge Agent가 통합하며 best score를 남긴다.

-
3.2 Code Block단위로 Solution 수정
-
T step동안 수정하며 더 좋은 score를 갖는 solution (code)를 얻는게 목표
-
2개의 프로세스로 구성
-
target code block을 추출하는 단계


-
$a_t$: 현재 step의 solution $s_t$ 코드를 ablation study하기 위해 Ablation agent가 작성한 코드.
-
$T_{abl}$: 이전 step들에서 수행했던 ablation studies의 요약된 context. Summary Agent가 생성함

-
$r_t$: 수행된 log 결과
-
제일 중요한 부분을 추출하는 추출기 Agent (Extractor)가 핵심 code block를 추출함. 즉, 수정했을 때 score에 가장 큰 영향을 주는 코드 부분을 찾음

-
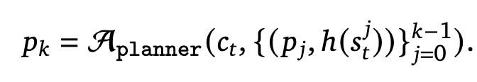
$p_0$: 초기 수정할 계획
-
$c_t$: t step에 refined된 code block
-
-
code block를 수정하는 단계
-
수정 계획 $p_0$를 기반으로 coder agent가 코드를 수정함

-
Plan Agent는 K번 plan을 짜고, inner-loop를 돌리면서 plan을 갱신함

-
매 Plan ($p_k$)마다 code agent는 code block을 짜고 $c_t^k$, 잠재 solution $s_t^k=s_t.\text{replace}(c_t,c_t^k)$를 생성함.
-
이중 제일 best-performance candidate solution을 추출하여 next step의 solution으로 둠 $s_{t+1}$

-
-
3.3 Ensemble 전략 활용하여 성능 극대화
-
각각의 차선책들 (solution들)이 서로 상호 보완할 수 있으므로, Ensemble을 통해 성능을 극대화 시도
-
MLE-STAR의 계획하는 능력을 바탕으로 emsemble 전략도 탐험하도록 수행 (emsemble agent)
-
이전의 emsemble 결과들의 score history를 feedback으로 받아 ensemble plan ($e_t$)를 생성함

- $e_r$: r번째 ensemble plan
-
ensembler의 plan을 바탕으로 최종 ensemble solution 생성

3.4 Robust한 MLE Agent를 위한 추가 모듈
-
Python script의 Error가 났을때 디버깅 해주는 agent

-
Test Data가 leakage 발생했는지 여부를 판단하는 Data Leakage Checker

-
Train Data를 10분 활용하지 않았는지 체크 수행 (윗쪽). 만약 불충분한 데이터 사용시, 수정을 가함

-
Train Data의 통계 분포를 바탕으로 체크 수행 (아래쪽)

-
4. Experiments
-
Evaluation
- Kaggle 대회에서 평균 이상 여부를 체크
-
정량적 결과

-
DS Agent와 비교 & Sonnet-4과 비교

-
Ablation Studies
-
Ensemble 전략

-
-
Discussions
-
정성적 결과

- MLE-STAR가 최신 모델 (ViT, EfficientNet을 사용함. > ResNet)
-
사람의 최소 개입도 허용하는 interface 제공

-
Data Leakage 유무에 따른 성능 비교

-
Data Checker 유무에 따른 성능 비교

-
반복해서 개선되는 Trajectory

-